🔗 Посилання на повний звіт

Було зібрано:

💰2500 USDT

💸48,144.60₴

💰271,693.44₴

Витрати:

З 2500 USDT було оплачено 100,000.00₴ як передплата за Navara та T5, по 50,000.00₴ за кожну. Решту грошей переказали на основну банку (там було 80$).

-48,144.60₴ від пана Івона Варєловича Капштенберга було оплачено за ремонт Pajero 2, яку він власне нам і пригнав торік.

-29,145.00₴ було сплачено за ремонт Pajero 2

-7,296.10₴ було сплачено за ТО Pajero 2, яке робилось окремим рахунком, бо спочатку його забули зробити

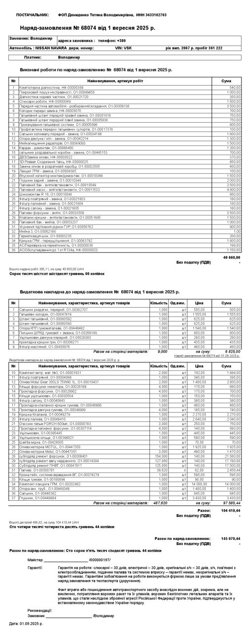
-95,260.44₴ було сплачено за ремонт Navara

-138,914.85₴ було сплачено за ремонт T5

Залишок 1,077.05₴ пішов на банку фільтрувально заправної станції.

Також решту машин зробили власним коштом, це ремонт Т4 (25,463.48₴), ремонт+ТО Ford Ranger (5,803.00₴), ремонт іншого Т5 (6,000.00₴).

🫶Ще раз дякую всім хто допоміг зібрати такі великі кошти

Фотозвіт
Фотозвіт
Фотозвіт
Фотозвіт
Фотозвіт
Фотозвіт
Фотозвіт
Фотозвіт
Фотозвіт
Фотозвіт